近日,我校经济与管理学院龚科教授、熊矗博士团队在国际能源领域顶级期刊《Energy》(中科院一区TOP期刊,影响因子9.0)上发表了题为“Minimum consumption pricing strategy for alleviating electric vehicle charging congestion”(缓解电动汽车充电拥堵的最低消费定价策略)的学术论文。

图1 论文基本信息
该论文的第一作者为我校经济与管理学院龚科教授,通讯作者为熊矗博士,硕士研究生赵波为主要参与者。重庆交通大学为论文的第一完成单位。该研究成果的发表,标志着我校在能源领域的研究取得了新的突破。
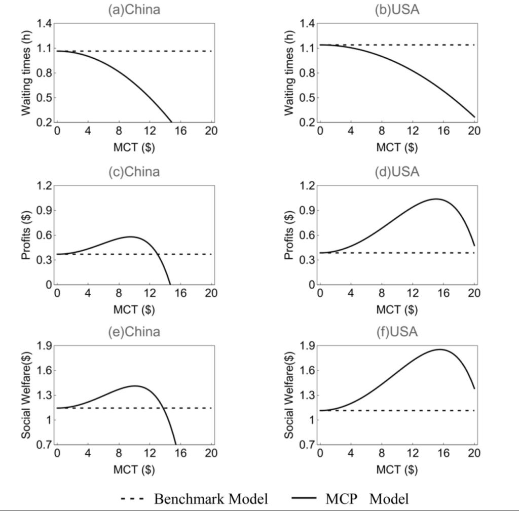
随着全球“双碳”目标的推进,电动汽车(EV)保有量激增,但充电基础设施建设相对滞后。特别是在节假日或出行高峰期,高速公路服务区及城市热点区域的充电站常出现严重拥堵,“排队时间长、充电难”已成为制约电动汽车进一步推广的关键瓶颈。现有的固定电价或分时电价策略在应对高峰期突发性拥堵时,往往难以实现资源的最优配置。针对这一难题,龚科教授团队创新性地提出了一种基于“二级价格歧视”理论的最低消费定价(Minimum Consumption Pricing, MCP)策略。研究团队构建了一个包含排队论、Stackelberg博弈和用户行为选择的理论模型。不同于单纯提高单价的传统拥堵费模式,MCP策略通过设定“最低消费门槛”,筛选出高价值和高需求的紧急充电用户,引导低电量需求或非紧急用户通过替代方案(如错峰充电或前往邻近站点)解决需求。团队利用中国和美国高速公路充电网络的校准数据进行了实证分析,通过研究发现:一是显著缩短等待时间:MCP模型能有效筛选用户,显著减少充电站的排队等待时间,提升整体服务效率,见图2(a)和(b)。二是实现多方共赢:最低消费门槛(MCT)与运营商利润之间呈“倒U型”关系,在合理范围内设定门槛,不仅能增加运营商利润,还能通过减少拥堵提升用户体验,从而改善整体社会福利。见图2(c)到(f)。三是策略具有适用性:在不同充电站间距和拥堵程度的动态调整机制下,为充电站运营商和政府监管部门提供了一套全新的拥堵治理工具和理论依据。

图2 主要结论
据悉,《Energy》是爱思唯尔(Elsevier)旗下的国际权威期刊,主要涵盖能源工程、能源经济及能源政策等领域的研究,是国际公认的能源领域顶级学术期刊之一。
论文链接:
https://doi.org/10.1016/j.energy.2025.139853